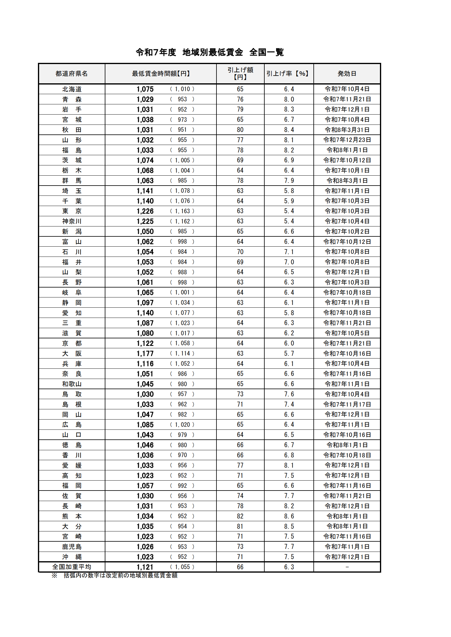
一、以下是2025年10月起實施的日本最低時薪明細:
(日本每年最低時薪約提升5%。)
【北海道?東北地區】
北海道(北海道)最低小時工資是1,075日元/小時,從2025年10月4日開始。
青森縣(青森)最低小時工資是1,029日元/小時,從2025年11月21日開始。
巖手縣(巖手)最低小時工資是1,031日元/小時,從2025年12月1日開始。
宮城縣(宮城)最低小時工資是1,038日元/小時,從2025年10月4日開始。
秋田縣(秋田)最低小時工資是1,031日元/小時,從2026年3月31日開始。
山形縣(山形)最低小時工資是1,032日元/小時,從2025年12月23日開始。
福島縣(福島)最低小時工資是1,033日元/小時,從2026年1月1日開始。
【關東地區】
茨城縣(茨城)最低小時工資是1,074日元/小時,從2025年10月12日開始。
栃木縣(栃木)最低小時工資是1,068日元/小時,從2025年10月1日開始。
群馬縣(群馬)最低小時工資是1,063日元/小時,從2026年3月1日開始。
埼玉縣(埼玉)最低小時工資是1,141日元/小時,從2025年11月1日開始。
千葉縣(千葉)最低小時工資是1,140日元/小時,從2025年10月3日開始。
東京都(東京)最低小時工資是1,226日元/小時,從2025年10月3日開始。
神奈川縣(神奈川)最低小時工資是1,225日元/小時,從2025年10月4日開始。
【中部地區】
新潟縣(新潟)最低小時工資是1,050日元/小時,從2025年10月2日開始。
富山縣(富山)最低小時工資是1,062日元/小時,從2025年10月12日開始。
石川縣(石川)最低小時工資是1,054日元/小時,從2025年10月8日開始。
福井縣(福井)最低小時工資是1,053日元/小時,從2025年10月8日開始。
山梨縣(山梨)最低小時工資是1,052日元/小時,從2025年12月1日開始。
長野縣(長野)最低小時工資是1,061日元/小時,從2025年10月3日開始。
岐阜縣(岐阜)最低小時工資是1,065日元/小時,從2025年10月18日開始。
靜岡縣(靜岡)最低小時工資是1,097日元/小時,從2025年11月1日開始。
愛知縣(愛知)最低小時工資是1,140日元/小時,從2025年10月18日開始。
三重縣(三重)最低小時工資是1,087日元/小時,從2025年11月21日開始。
【近畿地區】
滋賀縣(滋賀)最低小時工資是1,080日元/小時,從2025年10月5日開始。
京都府(京都)最低小時工資是1,122日元/小時,從2025年11月21日開始。
大阪府(大阪)最低小時工資是1,177日元/小時,從2025年10月16日開始。
兵庫縣(兵庫)最低小時工資是1,116日元/小時,從2025年10月4日開始。
奈良縣(奈良)最低小時工資是1,051日元/小時,從2025年11月16日開始。
和歌山縣(和歌山)最低小時工資是1,045日元/小時,從2025年11月1日開始。
【中國地區】
鳥取縣(鳥取)最低小時工資是1,030日元/小時,從2025年10月4日開始。
島根縣(島根)最低小時工資是1,033日元/小時,從2025年11月17日開始。
岡山縣(岡山)最低小時工資是1,047日元/小時,從2025年12月1日開始。
廣島縣(広島)最低小時工資是1,085日元/小時,從2025年11月1日開始。
山口縣(山口)最低小時工資是1,043日元/小時,從2025年10月16日開始。
【四國地區】
德島縣(徳島)最低小時工資是1,046日元/小時,從2026年1月1日開始。
香川縣(香川)最低小時工資是1,036日元/小時,從2025年10月18日開始。
愛媛縣(愛媛)最低小時工資是1,033日元/小時,從2025年12月1日開始。
高知縣(高知)最低小時工資是1,023日元/小時,從2025年12月1日開始。
【九州?沖繩地區】
福岡縣(福岡)最低小時工資是1,057日元/小時,從2025年11月16日開始。
佐賀縣(佐賀)最低小時工資是1,030日元/小時,從2025年11月21日開始。
長崎縣(長崎)最低小時工資是1,031日元/小時,從2025年12月1日開始。
熊本縣(熊本)最低小時工資是1,034日元/小時,從2026年1月1日開始。
大分縣(大分)最低小時工資是1,035日元/小時,從2026年1月1日開始。
宮崎縣(宮崎)最低小時工資是1,023日元/小時,從2025年11月16日開始。
鹿兒島縣(鹿児島)最低小時工資是1,026日元/小時,從2025年11月1日開始。
沖繩縣(沖縄)最低小時工資是1,023日元/小時,從2025年12月1日開始。
二、2025年日本最低小時工資 Top 10
可以看到,東京、神奈川、大阪繼續穩居全國前三,均超過 1,170日元/小時;
而關東、關西、東海的大城市圈(東京、神奈川、大阪、埼玉、愛知、千葉、京都、兵庫)基本占據了前八名。
- 東京都(東京):1,226日元/小時
- 神奈川縣(神奈川):1,225日元/小時
- 大阪府(大阪):1,177日元/小時
- 埼玉縣(埼玉):1,141日元/小時
- 愛知縣(愛知):1,140日元/小時
- 千葉縣(千葉):1,140日元/小時
- 京都府(京都):1,122日元/小時
- 兵庫縣(兵庫):1,116日元/小時
- 北海道(北海道):1,075日元/小時
- 茨城縣(茨城):1,074日元/小時
三、2025年日本時薪最高和最低的三個地區
1、最高的3個地區(2025年)
- 東京都(東京):最低小時工資 1,226日元/小時
- 神奈川縣(神奈川):最低小時工資 1,225日元/小時
- 大阪府(大阪):最低小時工資 1,177日元/小時
2、最低的3個地區(2025年)
- 高知縣(高知):最低小時工資 1,023日元/小時
- 宮崎縣(宮崎):最低小時工資 1,023日元/小時
- 沖繩縣(沖縄):最低小時工資 1,023日元/小時
最高地區(東京) 與 最低地區(高知、宮崎、沖繩) 的最低時薪差距為 203日元/小時。按照每月工作 160小時 計算,月收入差距大約為 32,480日元,折合人民幣約 1,600元左右。
高工資地區集中在東京圈、關西圈、東海圈等大城市圈,而低工資地區則主要分布在人口較少、經濟規模較小的地方縣。
四、令和7年度 日本各督道府縣 最低時薪(圖)





評論 ()